這個 2023 年的論文,探討烏拉山南部 3800 年前的遊牧社會,根據古代DNA 重現一個家族的三代人關係,有許多兄弟,以及外來加入家庭的媽媽。
Descent, marriage, and residence practices of a 3,800-year-old pastoral community in Central Eurasia


這群人住在烏拉山南部的 Nepluyevsky,距今約 3800 年。平坦的大地上總共留下 38 個墓丘,至少 44 位長眠者。沒有穀物農業的跡象,放牧牛、羊取得資源。
此處遺址被歸類為青銅時代的 Srubnaya-Alakul 文化,或是說,可以視為其西方 Srubnaya 文化,以及其東方 Alakul 文化的交界。
大歷史觀之,烏拉山南部的 Srubnaya-Alakul 文化介於 3200 到 3800 年前,繼承自當地更早 3800 到 4100 年前的 Sintashta 文化(就是最早馬戰車那個)。因此這群人算是新文化的早期成員。
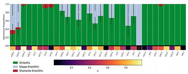
遺傳上,這群人和更早的 Sintashta 文化人相當接近,見證血緣的傳承。不過也能偵測到另外兩處少量的情慾流動,一處是源自其南方,歐亞草原西部更早的採集狩獵族群,另一處是源自其東方,能追溯到貝加爾湖一帶的 Shamanka血脈。


視角拉近到家族與個人層次,這兒長眠著三代人。44 人取得 32 個古代基因組,7 位沒有較近的血緣關係。其餘 25 人,可以確認 35 對一度關係、40 對二度關係、48 對三度關係。
由於關係網很密,有時候即使沒見到本人,根據其他人也可以推論其存在。例如墓葬中見到孫子、孫女、堂妹、叔叔四個人,便能推測還有孫子女的爸爸、媽媽、爺爺、奶奶,至少其餘四人也在那兒。
此處墓葬的第一代人包含 6 位兄弟(墓葬中只能見到 3 位),以及各自沒有血緣關係的夫人。5 位兄弟似乎都只有一位夫人,最多 3 個小孩。只有 1 位男紙有兩位夫人,一位夫人生下 7 個小孩,另一位 1 個,總共 8 個小孩。
這位生產力最高的男紙「b32-1」,也是整群人最晚去世,年紀超過 50 歲。論文推論他是大哥,所以獲得最多資源,繁衍最多子孫。可是感覺沒有道理,也可能是反過來,他因為活得長,才生養眾多。

由此看來,這群人日常應該是一堆堂兄弟姊妹一起生活。不過所有人的父母都不是近親,沒有任何近親繁殖的跡象。這是因為大家的媽媽,都來自血緣有別的其他家族,還包括前面提到,差異明顯的貝加爾湖族群。
那位血緣來自東方的媽媽 b28-2,老公是六兄弟中最會生的 b32-1,至少有一個兒子 b10-2。墓葬看來,兒子和同父異母的兄弟沒什麼差;能追溯到貝加爾湖的血脈,就此融入烏拉山南部人群。
這批墓葬中人主要是第二代,六兄弟的直系子女外,還有 4 位近親。第三代只剩 3 位,而且都是未滿 6 歲就去世的小寶寶。這個大家族,應該是又遷徙到更遠的地方遊牧。
由於取得單一遺址,同一時期,許多人的年齡和性別,可以計算一些數字。這群人的壽命不長,平均壽命只有 14 歲,高達 57% 的人未滿 15 歲就去世惹,沒有機會傳宗接代。
但是很多小孩夭折,會拉低總平均,無法判斷成年人的狀態。因此還有個常用的算法是「平均餘命」,這邊結果是,假如能活到 20 歲,平均在 31.6 歲去世。而且兩性有明顯差異,男生是 36.2 歲,女生只有 27.8 歲。

另一件明顯差異在於,未滿 5 歲、超過 15 歲的成年人,兩個年齡群體的兩性數目沒有很明確的不同。但是介於其間的未成年人,男生大幅多過女生。
可以推敲,這個家庭出生長大的女兒,成年後也會離開,加入新的群體。但是在中二年紀以前應該都會留在這兒。至少兩性的寶寶死亡率沒有不同。 所以為什麼這批墓葬中,沒什麼未成年女生?或許只是巧合,也可能是風俗影響,仍有待更多探討。
有人或許會好奇,未成年去世,甚至是未滿 5 歲就不幸夭折的寶寶,也會被擺進墓葬,等於留下身份認證嗎? 至少在這處墓葬所屬的 Srubnaya-Alakul,以及更早的 Sintashta,烏拉山南部一帶青銅時代的文化,都有這個風俗。
生命再短還是一家人,感到溫馨 ️

隨著古代基因組數目愈來愈多,也有更多比較對象。比對和這群人年代接近的一千多個樣本,至少能在 21 處遺址,見到與他們有血緣關係的遠親。有些住在附近,有的竟然相距上千公里遠。
早在 3800 年前的遊牧社會,情慾流動的尺度已經很大。
新聞稿:
Bronze Age family systems deciphered: Paleogeneticists analyze 3,800-year-old extended family
歡迎光臨粉絲團一起討論:盲眼的尼安德塔石器匠
